A collector (SCA, solar collector assembly) is an individually tracking component of the solar field that includes mirrors, a supporting structure, and receivers.
On the Collectors page, you can define the characteristics of up to four collector types. On the Solar Field page single loop configuration, you specify how the different collector types are distributed in each loop of the field, assuming that the field consists of identical loops. SAM only uses data for collector types that you have included in the single loop configuration on the Solar Field page
Note. For a detailed explanation of the physical trough model, see Wagner, M. J.; Gilman, P. (2011). Technical Manual for the SAM Physical Trough Model. 124 pp.; NREL Report No. TP-5500-51825. http://www.nrel.gov/docs/fy11osti/51825.pdf (3.7 MB)
Collector Library
The physical trough model's collector library contains a set of collector parameters for several commercially available collectors. You can either use parameters from the library, or type your own parameter values.
To apply values from the library:
1.In the list of collectors at the top of the page, click a collector name. You can click a column heading to sort the list.
2.For the collector type to which you want to apply the parameters from the library, click Apply Values from Library. SAM will replace the collector geometry, and optical parameter values with values from the library.
You can modify the values after you apply the library values.
Collector Type and Configuration Name
Collector Type
Choose the active SCA type (1-4). SAM displays the properties of the active SCA type on the Collectors page. You can assign different properties to each of the up to four collector types. See Specifying the Loop Configuration for details on including different SCA types in the solar field.
Configuration Name
The name of library entry for the receiver type.
Collector Geometry
Reflective aperture area (m2)
The total reflective area of a single collector, used to calculate the loop aperture area of a loop, and number of loops required for a solar field with the aperture area defined on the Solar Field page.
Aperture width, total structure (m)
The structural width of the collector, including reflective and non-reflective area. SAM uses this value to calculate row-to-row shadowing and blocking effects.
Length of collector assembly (m)
The length of a single collector assembly.
Number of modules per assembly
The number of individual collector-receiver sections in a single collector.
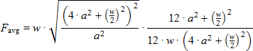
Average surface-to-focus path length (m)
The average distance between the collector surface and the focus of the parabola. This value is not equal to the focal length of the collector. To calculate the value when you know the focal length and aperture width, use the following equation, where Favg is the average surface-to-focus path length:

Where a is the focal length at the vertex, and w is the aperture width
Piping distance between assemblies (m)
Length of pipes and hoses connecting collectors in a single row, not including the length of crossover pipes.
Length of single module (m)
The length of a single collector-receiver module, equal to the collector assembly length divided by the number of modules per assembly.
Optical Parameters
Incidence angle modifier coefficients
Coefficients for a polynomial equation defining the incidence angle modifier equation.
Click Edit data and to specify coefficients for the equation. The default coefficients are for an equation with three terms, but you can use the table to specify more coefficients.
The equation captures the degradation of collector performance as the incidence angle (theta) of the solar radiation increases.
During simulations, SAM limits the value of the incidence angle modifier that it calculates to values between 0 and 1, inclusive.
Tracking error
Accounts for reduction in absorbed radiation error in collectors tracking caused by poor alignment of sun sensor, tracking algorithm error, errors caused by the tracker drive update rate, and twisting of the collector end at the sun sensor mounting location relative to the tracking unit end.
Geometry effects
Accounts for errors in structure geometry caused by misaligned mirrors, mirror contour distortion caused by the support structure, mirror shape errors compared to an ideal parabola, and misaligned or distorted receiver.
Mirror reflectance
The mirror reflectance input is the solar weighted specular reflectance. The solar-weighted specular reflectance is the fraction of incident solar radiation reflected into a given solid angle about the specular reflection direction. The appropriate choice for the solid angle is that subtended by the receiver as viewed from the point on the mirror surface from which the ray is being reflected. For parabolic troughs, typical values for solar mirrors are 0.923 (4-mm glass), 0.945 (1-mm or laminated glass), 0.906 (silvered polymer), 0.836 (enhanced anodized aluminum), and 0.957 (silvered front surface).
Dirt on mirror
Accounts for reduction in absorbed radiation caused by soiling of the mirror surface. This value is not linked to the mirror washing variables on the Solar Field page.
General optical error
Accounts for reduction in absorbed radiation caused by general optical errors or other unaccounted error sources.
Optical Calculations
The optical calculations are values that SAM calculates using the equations described below. You cannot directly edit these values.
Variable Name |
Equation |
Note |
Length of single module |
= Length of Collector Assembly ÷ Number of Modules per Assembly |
|
Incidence angle modifier at summer solstice |
|
Not used in actual efficiency calculation. Provided as reference only. Theta is in radians. |
End loss at summer solstice |
where:
|
Optical end loss at noon on the summer solstice due to reflected radiation spilling off of the end of the collector assembly. This value is provided as a reference and is not used in determining the design of the solar field. |
Optical efficiency at design |
= Tracking Error × Geometry Effects × Mirror Reflectance × Dirt on Mirror |
The collector's optical efficiency under design conditions. |
used in End Loss at Design described below.

